欢迎您访问智能建造学院学院!
本站首页
院部概况
院部介绍
院部荣誉
师资队伍
教学科研
技能大赛
教科研成果
合作交流
党建工作
支部生活
理论学习
廉政教育
党史学习教育
不忘初心牢记使命
学团天地
招生就业
招生计划
就业信息
学团天地
本站首页
>
学团天地
> 正文
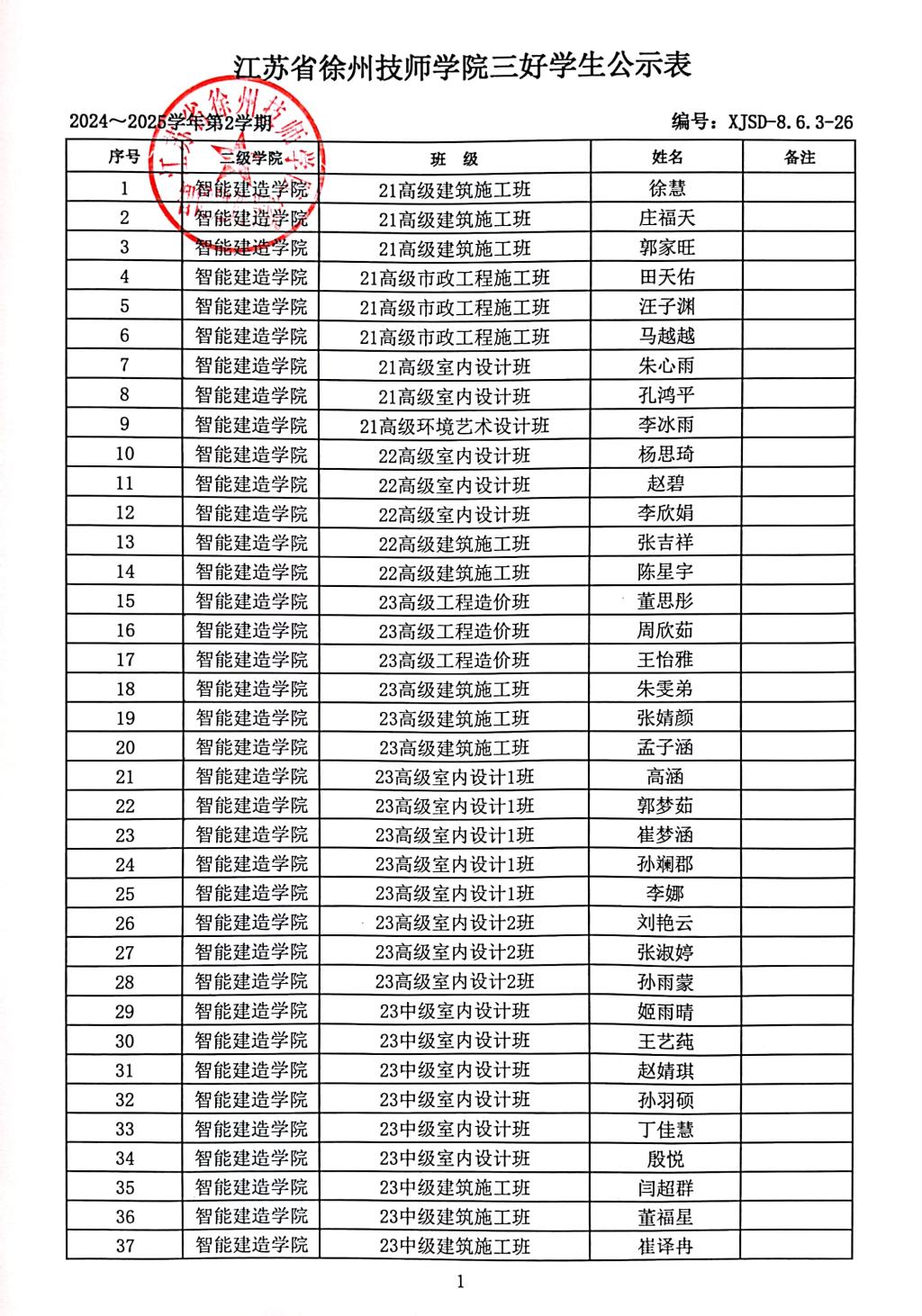
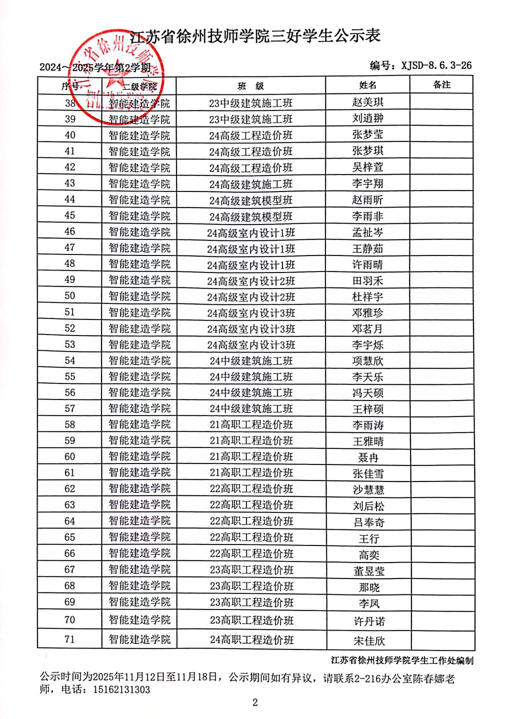
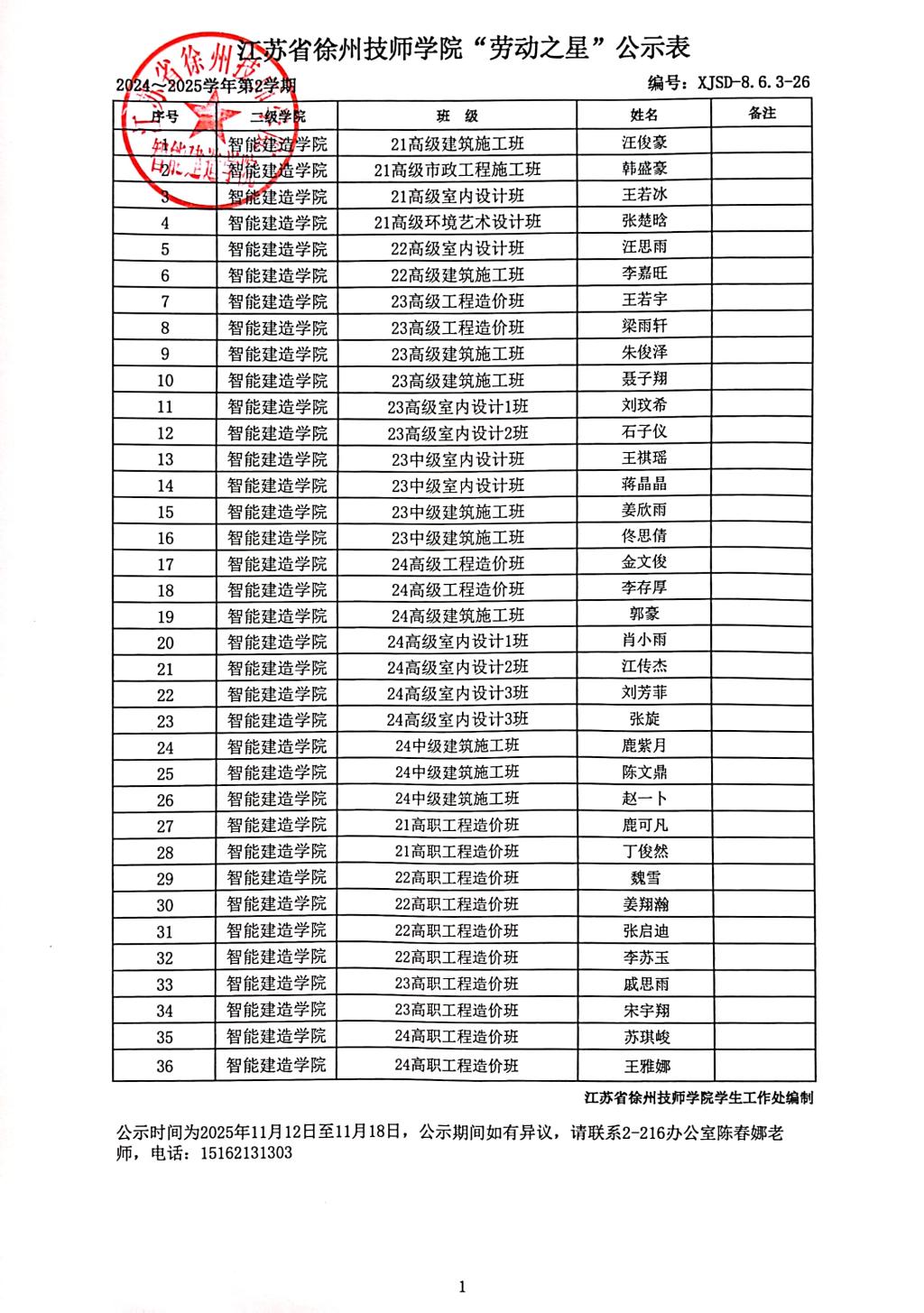
智能建造学院2024-2025学年第二学期奖学金、劳动之星和评优评先公示
时间:2025-11-12 16:01:19 浏览:
下一条:以青春之声铭记历史,以技能之志践行使命——智能建造学院举办“传承伟大抗战精神,强国复兴有我”主题演讲比赛院内选拔赛
江苏省徐州技师学院智能建造学院 版权所有
地址:江苏省徐州市泉山区润港大道15号 电话:0516-85958260 邮箱:xzjsxy_jzgcxy@163.com